السؤال :
أنا مدرس في المرحلة الثانوية , أرى أمثلة كثيرة لمسائل كاملة في الكتب تتحدث عن ماذا سيحدث في حالة السفر للفضاء الخارجي . مثال لذلك ( مفارقة التوأم) فهل هناك صيغة رياضية أستطيع من خلالها حساب الوقت المستغرق على سطح الأرض في حالة سافر أحدهم إلى الفضاء الخارجي ؟
أمثلة أخرى شاهدتها في أحد البرامج العلمية , إذا كان السفر إلى مركز مجرتنا , وكانت الرحلة تستغرق 50 عاما وحينما عدت وجدت أن الأرض قد مر عليها أربعة ملايين عام , أو مثال أخر عن رحلة مدتها 12 عاما والاخ لديه 80 عام الان , هل من صيغة أستطيع بها حساب ذلك , وما هي المتغيرات التي علي حسابها ؟
الجواب :
من الاثار المترتبة على النظرية النسبية الخاصة أنها تقلص المسافات وتمدد الزمن واللذان يظهران في حالة تحرك جسم ما بسرعة مقاربة لسرعة الضوء , هذا بالطبع لا يعتبر سفرا عبر الزمن . وهذا لا يمنع أيضا أنه سيكون متاحا للجميع في المستقبل . ومع ذلك فإن هذه التأثيرات حقيقية بالتأكيد فيمكنك بالفعل السفر بسرعة قريبة من سرعة الضوء لمدة زمنية قصيرة وتعود للأرض لتجد ملايين السنين قد مرت عليها . وتفسير ذلك هو منهج فيزياء كامل بمفرده , ويمكن أن تجده في مقدمات كتب النسبية الخاصة .
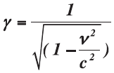
في الأساس هذا هو الناتج الفوري المترتب على ثبات سرعة الضوء بالنسبة للملاحظين متجاهلين سرعتهم الخاصة .
الساعات المتحركة تبطئ سرعتها والعصي المتحركة يتقلص طولها أيضا بعامل غام :
أنا مدرس في المرحلة الثانوية , أرى أمثلة كثيرة لمسائل كاملة في الكتب تتحدث عن ماذا سيحدث في حالة السفر للفضاء الخارجي . مثال لذلك ( مفارقة التوأم) فهل هناك صيغة رياضية أستطيع من خلالها حساب الوقت المستغرق على سطح الأرض في حالة سافر أحدهم إلى الفضاء الخارجي ؟
أمثلة أخرى شاهدتها في أحد البرامج العلمية , إذا كان السفر إلى مركز مجرتنا , وكانت الرحلة تستغرق 50 عاما وحينما عدت وجدت أن الأرض قد مر عليها أربعة ملايين عام , أو مثال أخر عن رحلة مدتها 12 عاما والاخ لديه 80 عام الان , هل من صيغة أستطيع بها حساب ذلك , وما هي المتغيرات التي علي حسابها ؟
الجواب :
من الاثار المترتبة على النظرية النسبية الخاصة أنها تقلص المسافات وتمدد الزمن واللذان يظهران في حالة تحرك جسم ما بسرعة مقاربة لسرعة الضوء , هذا بالطبع لا يعتبر سفرا عبر الزمن . وهذا لا يمنع أيضا أنه سيكون متاحا للجميع في المستقبل . ومع ذلك فإن هذه التأثيرات حقيقية بالتأكيد فيمكنك بالفعل السفر بسرعة قريبة من سرعة الضوء لمدة زمنية قصيرة وتعود للأرض لتجد ملايين السنين قد مرت عليها . وتفسير ذلك هو منهج فيزياء كامل بمفرده , ويمكن أن تجده في مقدمات كتب النسبية الخاصة .
في الأساس هذا هو الناتج الفوري المترتب على ثبات سرعة الضوء بالنسبة للملاحظين متجاهلين سرعتهم الخاصة .
الساعات المتحركة تبطئ سرعتها والعصي المتحركة يتقلص طولها أيضا بعامل غام :
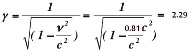
حسنا دعنا نفكر قليلا في ( مفارقة التوأم ) وأن مسافرنا الشجاع يتحرك بسرعة (v) تساوي 0.9 سرعة الضوء (c) في هذه الحالة :
لذلك يرى التوأمان وهما على الأرض أن ساعة سفينة الفضاء تتحرك أبطأ 2.29 مرة من ساعتهما , مما يعني أن كا 2.29 عاما على الأرض تساوي عاما على ساعة سفينة الفضاء . التوأم الموجود على الأرض سيلاحظ أيضا أن السفينة التي تتحرك بسرعة 0.9 من سرعة الضوء هي اقصر بنسبة 2.29 من طولها على سطح الأرض قبل الانطلاق . وكلما زادت سرعة السفينة كان تأثير النظرية النسبية الخاصة أكثر وضوحا .
رائع , أليس كذلك ؟
المصدر بتصرف : أنا اصدق العلم

ليست هناك تعليقات:
إرسال تعليق